A majority of these events are more precisely described as a brief resolved unexplained event BRUE. A BRUE Brief Resolved Unexplained Event is an event in an infant that is characterised by a marked change in breathing tone colour or altered level of consciousness that is followed by a complete return to a baseline state and that cannot be explained by a medical cause.
In 2016 the American Academy of Pediatrics published a clinical practice guideline that more specifically defined apparent life-threatening events as brief resolved unexplained events BRUEs and provided evidence-based recommendations for the evaluation of infants who meet lower-risk criteria for a subsequent event or serious underlying disorder.
Brief resolved unexplained event. The definition of a brief resolved unexplained event is an observed event occurring in an infant younger than one year of age where the observer reports a sudden brief yet resolved episode of one or more of the following. Brief resolved unexplained event - BRUE. A brief resolved unexplained event BRUE is when an infant younger than one year stops breathing has a change in muscle tone turns pale or blue in color or is unresponsive.
The event occurs suddenly lasts less than 30 to 60 seconds and is frightening to the person caring for the infant. This definition includes both physiological and pathological causes for events. It has been recommended that the term ALTE is replaced with the new term Brief Resolved Unexplained Event or BRUE.
This concept differs from an ALTE both in definition and in allowing risk stratification of patients which in turn can guide further management. Brief Resolved Unexplained Event BRUE A Brief Resolved Unexplained Event BRUE happens suddenly and can be scary for parents and caregivers. When a BRUE occurs babies may seem to stop breathing.
Their skin color may change to pale or blue. Their muscles may relax or tighten. Brief Resolved Unexplained Events BRUE Criteria for Infants Classifies unexplained events and replaces the Apparent Life Threatening Events ALTE classification.
Brief Resolved Unexplained Events Formerly Apparent Life-Threatening Events and Evaluation of Lower-Risk Infants. Management of Apparent Life-threatening Events in Infants. A Systematic Review.
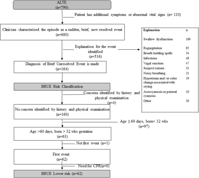
A Clinical Decision Rule to Identify Infants With Apparent Life-Threatening Event Who Can Be Safely Discharged From the Emergency Department. A majority of these events are more precisely described as a brief resolved unexplained event BRUE. This term was defined by consensus in 2016 and should be used instead of ALTE whenever the event is transient and remains unexplained after an appropriate medical evaluation 3.
A recent clinical practice guideline revised the name and definition of an ALTE to a brief resolved unexplained event BRUE. The diagnosis of BRUE in infants younger than 1 year of age is made when infants experience 1 of the following BRUE symptoms. A brief episode ie less than 1 minute and usua.
A brief resolved unexplained event is a diagnosis made after your babys doctor or health care professional has examined your baby and determined that. Brief resolved unexplained event BRUE or apparent life threatening event ALTE is defined as. An episode that is frightening to the observer during which a combination of the following symptoms are reported.
Change in tone 1. The term BRUE Brief Resolved Unexplained Event has replaced the term ALTE Apparent Life-Threatening Event. ALTE is an old term for events that are characterised by some combination of apnoea colour change change in muscle tone or choking and gagging and are frightening to the observer.
A BRUE Brief Resolved Unexplained Event is an event in an infant that is characterised by a marked change in breathing tone colour or altered level of consciousness that is followed by a complete return to a baseline state and that cannot be explained by a medical cause. A BRUE is a diagnosis of exclusion. In 2016 the American Academy of Pediatrics published a clinical practice guideline that more specifically defined apparent life-threatening events as brief resolved unexplained events BRUEs and provided evidence-based recommendations for the evaluation of infants who meet lower-risk criteria for a subsequent event or serious underlying disorder.
A brief resolved unexplained event BRUE is defined as a reported sudden brief 1 minute event in a child 1 year of age which is resolved at the time of presentation. In this video the viewer will learn to define Brief Resolved Unexplained Events recognize the clinical presentation diagnose and risk stratify a patient a.